Hyppää sisältöön
Medialle
  • Valitse kieli Suomi
  • Välj språket Svenska
  • Select language English
Hakusivulle »
  • Etusivu
  • Ajankohtaista
    • Uutiset ja tiedotteet
    • Blogit
    • VATT-seminaarit
    • Lausunnot
  • Tutkimus
    • Tutkimusaiheet
    • Tutkimushankkeet
    • Datahuone
  • Julkaisut
    • Uusimmat VATT-julkaisut
    • VATT Julkaisusarjat
    • VATT Policy Brief
    • Muut julkaisut
    • Vertaisarvioidut artikkelit
  • Henkilöt
    • Johto
    • Tutkijat
    • Hallinto-, tutkimus- ja viestintäpalvelut
    • Datahuoneen henkilöstö
  • VATT
    • Suunnittelun ja seurannan asiakirjat
    • Avoin tiede ja tutkimus VATT:ssa
    • Avoimet työpaikat
    • Strategia

Palkkaerot ja työllisyysaste Suomessa - mitä paljastaa kansainvälinen vertailu?

12.8.2016 Blogi Markus Jäntti

Viime päivinä on keskusteltu Suomen työllisyysasteesta ja tulo- tai palkkaerojen roolista sen muutoksissa.

Kuva: Aleksei Andreev (cropped) Kuva: Aleksei Andreev (cropped)

Helsingin Sanomat otsikoi 10.8, että "[s]uomalaisten pitää hyväksyä palkkaerojen kasvu, jotta työllisyys paranisi". Samassa artikkelissa työllisyysastettamme verrattiin eteläeurooppalaisiin tasoihin. HS jatkoi aiheesta 12.8 artikkelilla, jossa myös minua siteerattiin.

Tarkastellaanpa OECD:n tilastojen valossa näitä kysymyksiä.

Olen kerännyt tulo- ja palkkaeroja sekä työllisyysastetta koskevat tiedot OECD:n tilastopalvelusta (OECD, 2016a,b,c,d). Rajoitan tarkastelun tuloerojen osalta koskemaan Suomen, Ruotsin ja Tanskan ohella Norjaa, Alankomaita ja Saksaa. Työllisyysastetta tarkastellessani sisällytän myös Ranskan, Portugalin, Italian, ja Espanjan (Kreikkaa voisi pitää Etelä-Euroopan maana, mutta sen kokeman, edelleen käynnissä olevan syvän kriisin vuoksi jätän sen tarkastelun ulkopuolelle).

Tarkastellaan aluksi tulo- ja palkkaeroja. Rajaan tarkastelun koskemaan työikäistä väestöä. Tuloeroilla ymmärrän tässä työikäisen väestön markkinatulojen eroja. Kuvassa 1 näkyy markkinatulojen suhteellinen hajonta Gini-indeksillä mitattuna vuoden 2000 jälkeen. Aikasarjojen pituus vaihtelee ja vuonna 2012 tulomääritelmä muuttui (ja ilmeisesti vain Suomessa erot laskettiin molemmilla tavoilla koko ajanjakson ajan). Tuloerot kasvoivat näiden sarjojen valossa Tanskassa ja Ruotsissa, kuten myös Suomessa.

Kuva: Markus Jäntti

Markkinatulot koostuvat pääasiassa palkka-, yrittäjä- ja pääomatuloista. Markkinatulojen erojen muutokset saattavat johtua yrittäjä- ja pääomatulojen jakaumien muutoksista. Palkkaeroja mitataan tyypillisesti nk. persentiilisuhteilla. Esimerkiksi 90. palkkapersentiili on palkkataso, joka on suurempi kuin 90 prosentilla palkansaajista; P9010 mittaa 90. persentiilin suhdetta 10. persentiiliin.

Kuvaan 2 on piirretty P9010, P9050 ja P5010, tai oikeammin näiden suhteitten luonnollinen logaritmi (koska tällöin P9010 on kahden osatekijän summa eli ln P9010 = ln P9050 + ln P5010). Ruotsin palkkaerot eivät näiden sarjojen valossa näytä kasvaneen kovin merkittävästi; toisaalta Tanskan erot ovat jonkin verran kasvaneet.

Kuva: Markus Jäntti

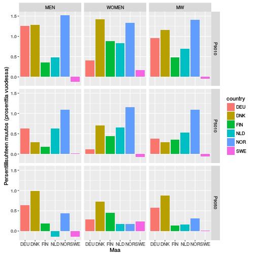
Olen vielä kuvaan 3 laskenut kunkin persentiilisuhteen kasvuvauhdin (eli keskimääräinen prosentuaalinen vuosimuutos). Kuten kuvasta näkyy, eivät palkkaerot Ruotsissa ole liikahtaneet mihinkään vuoden 2000 jälkeen. Tanskan muutokset ovat Suomen muutoksia suurempia, mutta Tanskan muutos on ennen kaikkea mediaanin ja 90. persentiilin eron kasvua. Ero 10. persentiilin eli palkkajakauman alapään ja keskipalkan välillä on kasvanut verraten vaatimattomasti.

Kuva: Markus JÄntti

Jos ajatellaan, että työllisyysaste ja palkkaerot ovat toisiinsa positiivisesti kytköksissä, pitäisi tämän näkyä aineistossa. Olen kuvaan 4 piirtänyt vaaka-akselille palkkaeroja mittavan P9010-tunnusluvun ja pystyakselille työlliset suhteessa työikäiseen väestöön, siis työllisyysasteen. Positiivinen yhteys näkyisi siten, että liike kuviossa on pääasiassa suunnassa lounainen-koillinen.

Saksassa liike onkin tämän kaltaista. Ruotsissa nämä muuttujat eivät liiku juuri mihinkään, kuten eivät Suomessakaan. Tanskassa liike on pikemmin suunnassa luode-kaakko (eli korkeammat palkkaerot ovat yhteydessä laskevaan työllisyysasteeseen). Norja, missä palkkaerot ovat kasvaneet roimasti, työllisyysaste pysyy käytännössä samalla tasolla koko ajanjakson.

Tässä vaiheessa minusta siis ei voi sanoa, että Ruotsin ja Tanskan kasvaneet palkkaerot ovat syy kohentuneeseen työllisyystilanteeseen, koska (a) Ruotsin palkkaerot eivät juuri ole muuttuneet ja (b) Tanskassa työllisyystilanne on heikentynyt palkkaerojen kasvaessa.

Entä se eteläeurooppalainen työllisyysaste? Kuvaan 5 on piirretty työlliset suhteessa työikäiseen väestöön aiemmissa kuvissa olleiden maiden lisäksi useassa eteläisen Euroopan maassa vuoden 2000 jälkeen. Suomen työllisyysaste onkin reippaasti alempi kuin muissa Pohjois-Euroopan maissa, joskin ero on miesten kohdalla selkeämpi. Toisaalta Suomen työllisyysaste on selvästi korkeampi kuin Etelä-Euroopan maissa. Suomalaisten naisten työllisyys varsinkin on näiden maiden naisia korkeampaa.

Kuva: Markus Jäntti

Ikäryhmittäisessä tarkastelussa (ks. kuva 6) käy ilmi Suomen erottuvan muista Pohjois-Euroopan maista pääasiassa siten, että lastensaanti-ikäisten naisten ja yli 50-vuotiaiden miesten työllisyys on heikkoa. Myös 40-49 -vuotiaiden miesten työllisyys on Suomessa verrokkimaita alempaa, mutta ero vaikuttaa vähemmän dramaattiselta.

Kuva: Markus Jäntti

Uskon, että palkkaerojen roolin sijaan (tai ainakin lisäksi) olisi hyödyllisempää pohtia muita institutionaalisia tekijöitä näiden ryhmien heikon työllisyyden potentiaalisina selittäjinä. Näistä ehkä päällimmäisinä lasten kotihoidon tuki ja työttömyyseläkeputki. Ei tietenkään ole poissuljettua, että ikääntyvien miesten osalta monilla palkka ylittää rajatuottavuuden. Ei toisaalta ole selvää, miksi tämä on ongelma vain Suomessa. Evidenssiä tästäkin olisi hyvä olla.

Suomen julkisen talouden tilanne kohenisi, jos työllisyysaste nousisi merkittävästi. Useassa ryhmässä tähän pitäisi olla edellytyksiä, koska työllisyys on vertailumaihin nähden alemmalla tasolla. On kuitenkin harkittava tarkkaan, miten työllisyysasteita saadaan nostettua. Viime vuosien palkkaero- ja työllisyyskehitys rikkaissa maissa ei kuitenkaan minusta anna vahvoja syitä uskoa palkkaerojen kasvun selittävän työllisyysasteen muutoksia.

Blogi Julkiset palvelut ja paikallinen julkistalous Tiedote julkinen talous politiikkatoimenpiteet tuloerot tulonjako työllisyys työn tarjonta
Facebook Jaa Facebookissa Twitter Jaa Twitterissä LinkedIn Jaa LinkedInissä | Tulosta Jaa sähköpostitse

Valtion taloudellinen tutkimuskeskus VATT

Vaihde 0295 519 400

[email protected]

Saavutettavuusseloste

Asiakirjajulkisuuskuvaus

Tietosuoja

Väärinkäytösten ilmoituskanava

Laskutustiedot

Anna palautetta

  • VATT viestipalvelu X:ssä
  • VATT LinkedInissä
  • VATT Instagramissa
  • VATT YouTubessa

Economicum

Arkadiankatu 7

PL 1279, 00101 Helsinki

Katso sijainti kartalla

Medialle
  • Suomi
  • Svenska
  • English
Hakusivulle
  • Etusivu
  • Ajankohtaista
    • Uutiset ja tiedotteet
      • Uutisarkisto
    • Blogit
      • Blogiarkisto
    • VATT-seminaarit
    • Lausunnot
      • Lausuntoarkisto
  • Tutkimus
    • Tutkimusaiheet
      • Kunnat ja hyvinvointialueet
      • Sosiaaliturva
      • Terveyspalvelut
      • Tulonjako ja eriarvoisuus
      • Työmarkkinat
      • Energia, ilmasto ja ympäristö
      • Muuttoliike
    • Tutkimushankkeet
    • Datahuone
  • Julkaisut
    • Uusimmat VATT-julkaisut
    • VATT Julkaisusarjat
      • VATT Tutkimukset
      • VATT Working Papers
      • VATT Muistiot
    • VATT Policy Brief
      • Ulkomaalaistaustaiset maksavat suomalaistaustaisia enemmän nettotulonsiirtoja – kuva muuttuu, kun huomioidaan ikärakenne
      • Turvepeltoa omistavat kotitaloudet ja päästöjen hinnoittelu
      • Romutuspalkkio ei aina ole ilmastoteko – päästövähennykset edellyttävät huolellista suunnittelua
      • Tuhkarokkorokotuksella on yllättäviä pitkäaikaishyötyjä yhteiskunnalle
      • Deaton Review – Eriarvoisuus Suomessa
      • Ansioturvan lyhentämisen vaikutukset vaihtelevat
      • Venäjälle aiemmin vieneiden yritysten vienti sen lähimaihin kasvussa
      • Maahanmuuttajien työllisyys kehittynyt suotuisasti viime vuosina
      • Hyvinvointialueiden julkiset hankinnat tarvitsevat lisää kilpailua
      • Todistusvalinta tehostaa opiskelijavalintaa
      • Valtion innovaatiotuet lisäävät talouskasvua, mutta tuet on kohdennettava oikein
      • Sota Ukrainassa: Vaikutus Venäjänkauppaa käyneisiin suomalaisyrityksiin
      • Yhteisöveron lasku ei lisännyt investointeja – vauhditti pienten yritysten toimintaa
      • Ikäraja vaikuttaa taloudellisia kannustimia enemmän eläkkeelle jäämiseen
      • Venäläisen energian tuonnin päättymisen vaikutukset Suomen teollisuudelle jäävät pieniksi
      • Viestintäkampanja vähensi merkittävästi takuueläkkeen alikäyttöä
      • Yrittäjien sosiaaliturva ja yritystoiminnan aktiivisuus
      • Yritysten hallinnolliset kustannukset selittävät ALV-alarajan aiheuttamat vaikutukset
      • Säästöt ansioturvan lyhentämisestä hupenevat huonompien työsuhteiden takia
      • Joko Suomessa koittaisi satunnaiskokeiden aika?
      • Kohtuuhintaisuuspolitiikka ei ole lääke asumisen kalleuteen
      • Suomen energiaverotus suosii energiaintensiivisiä suuryrityksiä
      • Parempi tapa valita korkeakouluopiskelijat
      • Energia- ja ilmastopolitiikan uudet tuulet
      • Rakenteellisen työttömyyden riski kasvaa
      • Mihin perintöveroa tarvitaan?
      • Terveydenhoitopalvelujen kilpailu voi johtaa kilpavarusteluun
      • Kouluvalintojen vaikutukset Suomessa epäselviä
      • Yksi tulo, monta verottajaa
      • Suomi on jo palvelutalous
      • Muuttamisen verottaminen jumiuttaa asuntomarkkinoita
      • Faktaa nuorisotyöttömyydestä
      • Innovaatioiden tukeminen kannattaa
    • Muut julkaisut
      • Vähemmän politiikkaa asuntomarkkinoille
      • Lisää markkinoita asuntomarkkinoille
      • Helsinkiläisten lapsiperheiden kouluvalinnat asuntomarkkinoilla
      • Kuntien sääntelyn periaatteet
      • Kuntien tehtävien ja velvoitteiden vaikutusten arviointi
      • Innovaatiopolitiikan mahdollisuudet vaikuttaa kasvuun ja työllisyyteen ovat rajalliset
      • Työkyvyttömyyseläkkeiden maksuluokkamallin kannustinvaikutukset
      • Korkeakoulun laadun vaikutus opiskeljoiden työmarkkinamenestykseen
      • Kotouttamissuunnitelmien vaikutukset maahanmuuttajien lasten koulutusvalintoihin
      • Tuloverotuksen vaikutus työn tarjontaan
      • Yritystukien arviointi ja vaikuttavuus
      • Eläkeläisnaisten ja -miesten toimeentuloerot vuosina 1995-2013
      • Tuloliikkuvuus ja köyhyyden pysyvyys
      • Top Incomes and Top Tax Rates
      • Tutkimusrahan uusi kilpailutus maksoi miljoonia
      • European Academies Science Advisory Council (EASAC): Circular economy: a commentary
      • Kansantaloudesta tulee pian "kiertotalous"
      • Bruttokansantuote vihreyden pauloissa
      • Tieliikenteen 40 %:n hiilidioksidipäästöjen vähentäminen vuoteen 2030 (VTT)
      • Vuoden 2011 energiaverouudistuksen arviointia
      • Käyttäytymistaloustiede ja julkisen sektorin rooli
    • Vertaisarvioidut artikkelit
  • Henkilöt
    • Johto
    • Tutkijat
      • Berghäll, Elina
      • Bizopoulou, Aspasia
      • Bratu, Cristina
      • Einiö, Elias
      • Giaccobasso, Matias
      • Hakola-Uusitalo, Tuulia
      • Huhtala, Anni
      • Hämäläinen, Kari
      • Izadi, Ramin
      • Kari, Tuomas
      • Kauppinen, Ilpo
      • Koivisto, Aliisa
      • Kosonen, Tuomas
      • Kyyrä, Tomi
      • Laukkanen, Marita
      • Lombardi, Stefano
      • Lyytikäinen, Teemu
      • Matikka, Tuomas
      • Nivala, Annika
      • Olkkola, Maarit
      • Ollikka, Kimmo
      • Palanne, Kimmo
      • Paukkeri, Tuuli
      • Pesola, Hanna
      • Pirttilä, Jukka
      • Päällysaho, Miika
      • Ravaska, Terhi
      • Ramboer, Sander
      • Remes, Piia
      • Riihelä, Marja
      • Sahari, Anna
      • Sarvimäki, Matti
      • Saxell, Tanja
      • Siikanen, Markku
      • Tukiainen, Janne
      • Tuomala, Juha
      • Uusitalo, Roope
      • Verho, Jouko
      • Viertola, Marika
      • Virkola, Tuomo
      • Wikström, Joakim
    • Hallinto-, tutkimus- ja viestintäpalvelut
    • Datahuoneen henkilöstö
      • Alasalmi, Juho
      • Korpela, Heikki
      • Kock, Nea
      • Luotonen, Niilo
      • Mahous, Nadine
      • Mattila, Jukka
      • Seppä, Meeri
      • Toikka, Max
  • VATT
    • Suunnittelun ja seurannan asiakirjat
    • Avoin tiede ja tutkimus VATT:ssa
      • Aineistot ja menetelmät
      • Avoin julkaiseminen
      • Tutkimusyhteistyö ja avoin tiede
      • Sopimuksiin liittyvät avoimuuden periaatteet
      • Avoimuuden tukeminen ja seuraaminen
    • Avoimet työpaikat
    • Strategia

Yhteystiedot